攪拌器的功率計算和工藝設計
2025年06月09日 |
閱讀次數:3002攪拌器的功率計算和工藝設計
一、攪拌器的功率計算
攪拌器功率分為運轉功率和啟動功率,運轉功率是指運轉時槳葉克服液體的摩擦阻力所消耗的功率;啟動功率是指在啟動時槳葉克服液體靜止慣性所消耗的功率。

1. 運轉功率計算(以平漿式為例)
Pr=ξxρxN^3×di^5
式中:
ξ----常數項;
ρ---- 液體密度,kg/m3;
n----槳葉轉速,r/min;
d----槳葉直徑,mm;
根據對運轉功率的分析,可得出如下結論:
1、采用傾斜槳葉,在改善結構和降低運轉功率方面都是有宜的。
2、在攪拌很多液體時,應首先考慮增加槳葉數量,而不應增加槳葉長度。
3、實際運轉功率大于理論功率,這是因為還存在其它阻力,因此應在計算功率的基礎上適當增加余量。
4、容器內壁粗糙時,運轉的實際功率應比計算功率增加10-30%。
5、容器內有加熱蛇管時,應增加2倍。
6、容器內有擋板時,應增加2-3倍。
2. 慣性(啟動)功率計算
Pf=kxρxN3×di^5
符號意義同上。
3. 攪拌器的總功率消耗Pw
Pw=Pr+Pf=(ξ +k)×ρ×n^3×d^5
以此式計算的功率值在lkw以上時誤差較小,小于1kw時則與實際功率有較大出入,可以用下面的數值對功率作調整:
當負荷功率≥1kw時,P=(1.1-1.2)Pw
當負荷功率≥0.1kw時,P=(1-4)Pw
當負荷功率≤0.1kw時,P=10Pw
如果只對功率作粗略估算,Pw=(2-3)Pr
4. 幾種常用攪拌裝置凈功率(軸功率)計算公式

注:表中計算公式是根據前蘇聯科研人員研究的N-Re算圖擬合整理所得。
雷諾數計算公式:
Re=nxd^3 xρ/μ
n—轉數/s
μ---黏度kg/m3s
d—葉輪直徑m
ρ---密度k/m3
電動機應選用防潮型、具有接觸環的異步電動機,它具有較大的啟動轉矩,而一般的三相同步電動機是不適用的。
| 液體單位體積的平均攪拌功率的推薦值 |
| 液體混合 | 0.0661949 |
| 固體有機物懸浮 | 0.1942-0.29126 |
| 固體有機物溶解 | 0.29126-0.38834 |
| 固體無機物溶解 | 0.97086 |
| 乳液聚合(間歇式) | 0.97086-1.94172 |
| 懸浮聚合(間歇式) | 1.16577-1.39304 |
| 氣體分散 | 2.912576 |
影響攪拌器功率的因素:
1、攪拌器的幾何參數及運轉參數
2、攪拌器的幾何參數
3、攪拌介質的物理參數
二、攪拌器工藝和結構設計

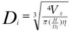
已知H/Di比,公稱容積(操作時盛裝物料的容積)Vg,罐體全容積V。
1、裝料系數η
Vg=V*η
η一般取值0.6-0.85
物料在反應過程中會起泡沫或呈沸騰狀態,裝料系數取低值約0.6-0.7,物料反應平穩,可取0.8-0.85,物料粘度大時,可取大值。
2、初步計算筒體直徑

3、確定筒體高度

其中v0——封頭容積

















